Executors#

Executors in HPX provide a flexible way to control how, when, and where tasks are executed. Instead of manually creating threads or managing thread pools, you can hand your tasks to an executor, and it takes care of the details of running them.

This page introduces the concept of executors, the main types available in HPX, and how to create custom executors.

What is an executor?#

An executor is an abstraction that separates the what from the how of task execution:

  • What: the work to be performed (e.g. a function or task).

  • How: whether the task runs synchronously, asynchronously, or in parallel across multiple cores.

By using executors, you can switch between execution strategies without rewriting your algorithms. HPX provides a rich set of executors with a unified API.

Main Executors in HPX#

HPX provides multiple executors. Below are three of the most commonly used:

Parallel Executor#

  • Default in HPX.

  • Creates a new HPX thread for every scheduled task.

  • Works well for large tasks, but frequent small tasks incur overhead due to thread creation/destruction.

#include <hpx/execution.hpp>
#include <hpx/algorithm.hpp>
#include <vector>

std::vector<int> data(100, 1);

hpx::for_each(
    hpx::execution::par,
    data.begin(), data.end(),
    [](int &x) {
        x += 1;
    }
);

Fork-Join Executor#

  • Spawns one thread per CPU core when created.

  • Threads are reused across tasks, avoiding repeated creation costs.

  • Efficient for workloads with many sequential parallel regions.

  • May waste resources if parallel work is limited.

#include <hpx/execution.hpp>
#include <hpx/algorithm.hpp>
#include <vector>

std::vector<int> data(100, 1);

hpx::execution::experimental::fork_join_executor exec;

hpx::for_each(
    hpx::execution::par.on(exec),
    data.begin(), data.end(),
    [](int &x) {
        x += 1;
    }
);

Sequential Executor#

  • Executes all tasks synchronously on the calling thread.

  • Useful for debugging (deterministic execution) or when parallelism brings no benefit.

  • Maintains the same executor-based API while running tasks sequentially.

#include <hpx/execution.hpp>
#include <hpx/algorithm.hpp>
#include <vector>

std::vector<int> data(100, 1);

hpx::execution::sequenced_executor seq_exec;

hpx::for_each(
    hpx::execution::seq.on(seq_exec),
    data.begin(), data.end(),
    [](int &x) { x += 1; }
);

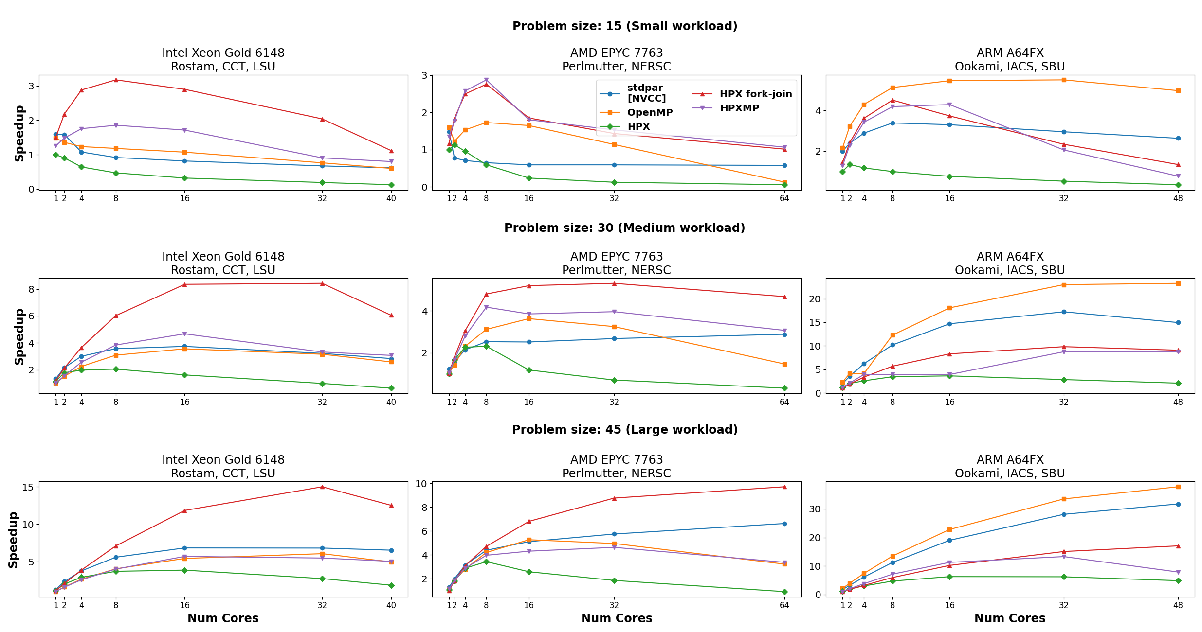
Executors in real-world applications#

A practical example is the LULESH mini-application (a hydrodynamics benchmark).

../_images/lulesh_parallel.png

Fig. 11 Parallel executor: creates and destroys threads for each loop.#

../_images/lulesh_fork_join.png

Fig. 12 Fork-join executor: reuses threads across loops.#

  • With the parallel executor, each parallel loop creates and destroys new threads, introducing overhead.

  • With the fork-join executor, threads are created once and reused across loops, reducing overhead and improving performance.

In studies, the fork-join executor achieved significant speedups, in some cases more than twice as fast as traditional OpenMP implementations.

../_images/lulesh_speedup_comparison.png

Fig. 13 Performance comparison between executors in the LULESH benchmark.#

Custom executors#

While HPX provides a variety of built-in executors, you may sometimes need to adapt task execution to your own requirements. This is where custom executors come in. By writing a small wrapper around an existing executor, you can extend its behavior?for example, to add logging, profiling information, or special scheduling rules?while still taking advantage of the HPX executor API.

Custom annotating executor#

The following example shows how to implement a simple executor that annotates tasks with a string label for easier debugging and profiling.

Note

Annotations do not affect how tasks run or what results they produce. Their main purpose is to give human-readable names to tasks so that they can be identified in profilers, and debuggers.

Full example code#

#include <hpx/hpx_main.hpp>
#include <hpx/include/parallel_executors.hpp>
#include <hpx/include/async.hpp>
#include <hpx/execution.hpp>
#include <hpx/modules/async_base.hpp>
#include <hpx/modules/threading_base.hpp>

#include <iostream>
#include <string>
#include <utility>

template <typename BaseExecutor>
struct simple_annotating_executor
{
    BaseExecutor base_;
    const char* annotation_;

    simple_annotating_executor(BaseExecutor exec, const char* ann)
        : base_(std::move(exec)), annotation_(ann)
    {}

    // Non-blocking one-way executor
    template <typename F, typename... Ts>
    friend void tag_invoke(hpx::parallel::execution::post_t,
                        simple_annotating_executor const& exec,
                        F&& f, Ts&&... ts)
    {
        hpx::post(
            hpx::annotated_function(std::forward<F>(f), exec.annotation_),
            std::forward<Ts>(ts)...);
    }

    // Synchronous execution
    template <typename F, typename... Ts>
    friend auto tag_invoke(hpx::parallel::execution::sync_execute_t,
                        simple_annotating_executor const& exec,
                        F&& f, Ts&&... ts)
    {
        return hpx::parallel::execution::sync_execute(
            exec.base_,
            hpx::annotated_function(std::forward<F>(f), exec.annotation_),
            std::forward<Ts>(ts)...);
    }
};

// Example functions
int compute_square(int x)
{
    std::cout << "[sync_execute] Running task with annotation\n";
    return x * x;
}

void say_hello()
{
    std::cout << "[post] Running task with annotation\n";
}

int main()
{
    simple_annotating_executor exec(hpx::execution::parallel_executor{}, "my_custom_task");

    // Synchronous execution
    int result = hpx::parallel::execution::sync_execute(exec, &compute_square, 7);
    std::cout << "Result from sync_execute: " << result << "\n";

    // Post a task
    hpx::parallel::execution::post(exec, &say_hello);

    return 0;
}

Explanation#

The first lines pull in the necessary HPX headers for executors, asynchronous execution, and annotated functions. The key one here is hpx/threading_base/annotated_function.hpp, which provides the facility to tag tasks with a string label. We then define a simple_annotating_executor that wraps another executor and associates an annotation string with every task:

template <typename BaseExecutor>
struct simple_annotating_executor
{
    BaseExecutor base_;
    const char* annotation_;

    simple_annotating_executor(BaseExecutor exec, const char* ann)
        : base_(std::move(exec)), annotation_(ann)
    {}
};

The post customization schedules a task to run asynchronously. We wrap the task in hpx::annotated_function so that it carries the annotation. Executors in HPX customize these operations through tag_invoke overloads, which are selected by special tag objects like post_t` and sync_execute_t. This is why the executor interface may look different from a normal member function API.

template <typename F, typename... Ts>
friend void tag_invoke(hpx::parallel::execution::post_t,
                    simple_annotating_executor const& exec,
                    F&& f, Ts&&... ts)
{
    hpx::post(
        hpx::annotated_function(std::forward<F>(f), exec.annotation_),
        std::forward<Ts>(ts)...);
}

The sync_execute customization runs a task immediately and returns the result. Again, we wrap the function with an annotation before executing. The key difference is that post schedules a task in a fire-and-forget style (no result is returned), while sync_execute blocks until the task finishes and gives you the result back.

template <typename F, typename... Ts>
friend auto tag_invoke(hpx::parallel::execution::sync_execute_t,
                    simple_annotating_executor const& exec,
                    F&& f, Ts&&... ts)
{
    return hpx::parallel::execution::sync_execute(
        exec.base_,
        hpx::annotated_function(std::forward<F>(f), exec.annotation_),
        std::forward<Ts>(ts)...);
}

Note how we delegate the actual execution to exec.base_, the underlying executor. This makes the custom executor lightweight: it only adds annotations, while leaving the scheduling strategy to the base executor (here, a parallel_executor).

We define two simple functions to demonstrate both synchronous and asynchronous execution: These functions also print to std::cout, but this output is not the actual annotation. Annotations are stored internally by HPX and become visible when you use debugging or profiling tools.

int compute_square(int x)
{
    std::cout << "[sync_execute] Running task with annotation\n";
    return x * x;
}

void say_hello()
{
    std::cout << "[post] Running task with annotation\n";
}

Finally, in main we create the executor with a base executor and annotation string. We then run one task with sync_execute (blocking, returns result) and one with post (asynchronous, fire-and-forget). You can also create multiple annotating executors with different strings, so each task gets its own label. This is especially useful in larger applications with many different kinds of tasks, where annotations make it much easier to trace what is happening.

int main()
{
    simple_annotating_executor exec(hpx::execution::parallel_executor{}, "my_custom_task");

    // Synchronous execution
    int result = hpx::parallel::execution::sync_execute(exec, &compute_square, 7);
    std::cout << "Result from sync_execute: " << result << "\n";

    // Post a task
    hpx::parallel::execution::post(exec, &say_hello);

    return 0;
}

Custom annotating executor with parallel algorithms#

The following example demonstrates how to use a custom annotating executor with HPX parallel algorithms, such as for_each. This allows you to attach annotations to tasks while executing them in parallel.

Full example code#

#include <hpx/execution.hpp>
#include <hpx/hpx_main.hpp>
#include <hpx/include/parallel_algorithm.hpp>
#include <hpx/include/parallel_executors.hpp>
#include <hpx/modules/threading_base.hpp>

#include <iostream>
#include <utility>
#include <vector>

template <typename BaseExecutor>
struct simple_annotating_executor
{
    BaseExecutor base_;
    char const* annotation_;

    using execution_category =
        hpx::traits::executor_execution_category_t<BaseExecutor>;

    simple_annotating_executor(BaseExecutor exec, char const* ann)
    : base_(std::move(exec))
    , annotation_(ann)
    {
    }

    // Bulk async_execute (used by parallel algorithms)
    template <typename F, typename Shape, typename... Ts>
    friend auto tag_invoke(hpx::parallel::execution::bulk_async_execute_t,
        simple_annotating_executor const& exec, F&& f, Shape const& shape,
        Ts&&... ts)
    {
        return hpx::parallel::execution::bulk_async_execute(
            exec.base_,
            hpx::annotated_function(std::forward<F>(f), exec.annotation_),
            shape, std::forward<Ts>(ts)...);
    }
};

namespace hpx::execution::experimental {

    // The annotating executor exposes the same executor categories as its
    // underlying (wrapped) executor.

    template <typename BaseExecutor>
    struct is_two_way_executor<simple_annotating_executor<BaseExecutor>>
    : is_two_way_executor<BaseExecutor>
    {
    };
}    // namespace hpx::execution::experimental

int main()
{
    using base_executor = hpx::execution::parallel_executor;
    simple_annotating_executor exec(base_executor{}, "for_each_task");

    std::vector<int> data = {1, 2, 3, 4, 5};

    // Use the custom executor with a parallel algorithm
    hpx::for_each(hpx::execution::par.on(exec),    // attach executor
        data.begin(), data.end(), [](int& x) {
            std::cout << "Processing " << x << " on thread "
                    << hpx::get_worker_thread_num() << "\n";
            x *= x;
        });

    std::cout << "Squared values: ";
    for (int v : data)
        std::cout << v << " ";
    std::cout << "\n";

    return 0;
}

Explanation#

Similar as before, the first lines pull in the necessary HPX headers for executors, asynchronous execution, and annotated functions. The key one here is hpx/threading_base/annotated_function.hpp, which provides the facility to tag tasks with a string label. We then define a simple_annotating_executor that wraps another executor and associates an annotation string with every task:

template <typename BaseExecutor>
struct simple_annotating_executor
{
    BaseExecutor base_;
    const char* annotation_;

    using execution_category =
        hpx::traits::executor_execution_category_t<BaseExecutor>;

    simple_annotating_executor(BaseExecutor exec, const char* ann)
        : base_(std::move(exec)), annotation_(ann)
    {}
};

Note that we expose the execution category of the custom executor with using execution_category = hpx::traits::executor_execution_category_t<BaseExecutor>. We inherit the execution category from the underlying executor (BaseExecutor`), which ensures that our simple_annotating_executor behaves like the base executor in terms of parallelism and task execution capabilities.

The bulk_async_execute customization schedules a set of tasks to run asynchronously. We wrap each task in hpx::annotated_function so that it carries the annotation. Executors in HPX customize these operations through tag_invoke overloads, which are selected by special tag objects like bulk_async_execute_t. This is why the executor interface may look different from a normal member function API - it uses tag dispatch to integrate seamlessly with the HPX parallel algorithms infrastructure.

template <typename F, typename Shape, typename... Ts>
friend auto tag_invoke(hpx::parallel::execution::bulk_async_execute_t,
    simple_annotating_executor const& exec, F&& f, Shape const& shape,
    Ts&&... ts)
{
    return hpx::parallel::execution::bulk_async_execute(
        exec.base_,
        hpx::annotated_function(std::forward<F>(f), exec.annotation_),
        shape, std::forward<Ts>(ts)...);
}

Note how we delegate the actual execution to exec.base_, the underlying executor. This makes the custom executor lightweight: it only adds annotations, while leaving the scheduling strategy to the base executor (here, a parallel_executor).

The hpx::execution::experimental namespace contains traits that describe executor capabilities, such as whether an executor can run tasks one-way, two-way, or never-blocking. These traits are used internally by HPX to verify that an executor is compatible with a given parallel algorithm or execution policy.

namespace hpx::execution::experimental {

    // The annotating executor exposes the same executor categories as its
    // underlying (wrapped) executor.

    template <typename BaseExecutor>
    struct is_never_blocking_one_way_executor<
        simple_annotating_executor<BaseExecutor>>
    : is_never_blocking_one_way_executor<BaseExecutor>
    {
    };

    template <typename BaseExecutor>
    struct is_one_way_executor<simple_annotating_executor<BaseExecutor>>
    : is_one_way_executor<BaseExecutor>
    {
    };

    template <typename BaseExecutor>
    struct is_two_way_executor<simple_annotating_executor<BaseExecutor>>
    : is_two_way_executor<BaseExecutor>
    {
    };
}
  • is_never_blocking_one_way_executor indicates whether the executor can schedule tasks in a fire-and-forget style without blocking.

  • is_one_way_executor indicates support for one-way execution (tasks can be scheduled but no result is returned).

  • is_two_way_executor indicates support for two-way execution (tasks return a result or a future).

In all cases, the custom executor inherits the capabilities of the base executor, so it integrates seamlessly with HPX algorithms.

This design ensures that simple_annotating_executor can be used anywhere its underlying executor could be used, while still adding the annotation functionality. It keeps the custom executor lightweight and fully compatible with the parallel algorithms infrastructure.

In main, we create the executor with a base executor and an annotation string, and then use it with a parallel algorithm:

int main()
{
    using base_executor = hpx::execution::parallel_executor;
    simple_annotating_executor exec(base_executor{}, "for_each_task");

    std::vector<int> data = {1, 2, 3, 4, 5};

    // Use the custom executor with a parallel algorithm
    hpx::for_each(hpx::execution::par.on(exec),    // attach executor
        data.begin(), data.end(), [](int& x) {
            std::cout << "Processing " << x << " on thread "
                    << hpx::get_worker_thread_num() << "\n";
            x *= x;
        });

    std::cout << "Squared values: ";
    for (int v : data)
        std::cout << v << " ";
    std::cout << "\n";

    return 0;
}

First, we create a base executor (parallel_executor) and wrap it in our simple_annotating_executor, providing an annotation string “for_each_task”. This custom executor will attach the annotation to every task it schedules, while delegating actual execution to the base executor.

We then use hpx::for_each with a parallel execution policy and attach our custom executor using par.on(exec): * hpx::execution::par.on(exec) attaches our custom executor to the algorithm. * for_each internally partitions the work across threads and schedules each task using bulk_async_execute. * Each task is annotated with “for_each_task”, visible in debuggers and profilers. * The results of the parallel computation are stored in the data vector, demonstrating that the algorithm

executed successfully in parallel.

This pattern is especially useful in larger applications with many tasks, as annotations make it much easier to trace and debug the execution of parallel algorithms.